「北海道移住団」に、退路無し…「飛島村史」にある「移住団請願書」とは?
https://tekkenoyaji.hatenablog.com/entry/2021/10/11/115652
今回の報告は正に、大間違いから生まれた報告である。
この項に接続してみよう。
何の事はない。
庄内周辺から知識を広げようと「飛島村史」を入手した。
恐らく東北人なら山形県の飛島だと思うだろうし、筆者もそのつもりであった。
だが、多分、愛知県の方なら、山形の離島だとは考えまい。
そう、届いたのは「愛知県海部郡飛島村」の村史であった…
ぶっちゃけ、この手のオオボケは必死の得意技であり、自らのアホさ加減を痛感する瞬間なのだが…
人生、長く生きていると「そのままでは終わらせない」と言う術を得てくる。
で、今回もひっそりと記載されたところから報告…でも、この内容を道民の方は知っているだろうか?
先祖達が、どんな思いで移住を決断したか?解るだろうから。
因みに、この移住請願は明治30年。
前項にある、旧土人保護法制定と似た時期の事である。
勿論、移住には幾つかのタイプがある。
https://tekkenoyaji.hatenablog.com/entry/2021/10/18/084019
https://tekkenoyaji.hatenablog.com/entry/2020/07/06/135923
伊達市へ移住した「亘理伊達氏」の様な、戊辰戦争で領地没収らされた武家の移住。
その他にも新十津川村の様に災害によるもの、屯田兵募集、一般の募集ら。
http://hokkaidokaitaku.m34.coreserver.jp/%20/etcetera/kaitaku_nyumon/Casestudy1.html
北海道開拓倶楽部様のHPで、遠別町史からの愛知県移住団の話。
https://www.zaikaisapporo.co.jp/blog/blog-article.php?id=16207
財界さっぽろ様のHPでの愛知県移住の話。
恐らくはそれらと近い話だと思うが、代表者の名前が違っていたりするので、同じかは断定不能だし、通史編で触れていないので、その後についても解らない。
一応、参考として、この様な請願内容,移住条件で行われたケースがある…という事で。
では、引用から。
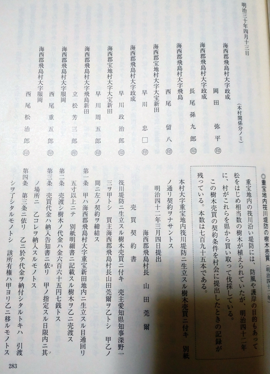
「
請 願
私共儀
今般開墾ノ目的ヲ以テ別紙団結規約取リ結ビ 北海道ヘ移住シ土地貸付ヲ請願致シタク候二付キ 北海道住民規則第二条ニヨリ 別紙事項書ヲ添付致シ候間 特別ノ御詮議ヲ以テ証明書御下付相成リタク 各自締結規約書相添エ 此ノ段願イ奉リ候也
」
「飛島村史 資料編 二」 飛島村史編3委員会/飛島村史調査編集委員会 平成13.3.31 より引用…
折角なので…




事項書として
①北海道開墾目的での移住で、60戸、明治30年に45戸、31年に15事。
②出願面積は90万坪
③疾病,災害らで総代が恵与や各自の積立で、相互救護
④旅費や家屋代、衣食費用は自腹。
規約書として補足し、
総代からの説論の上、直さないなら20~50円の違約金を取り除名。
・故なく開墾しない
・故なく他に転居
・農繁期に他人を誘導しての出稼ぎ
・相互救護に参加しない
・団体の面目を汚す行為
※除名の場合は、各徴収金は返却しない
と、いった感じ。
また、寺社と学校の設立も計画するとある。
どうだろうか?
金は一切自腹で、移住団全員の力のみで移住を成功させると言う事か。
記載内容の中に「補助金をくれ」なぞと言う記載は一切無し。
勿論、上手くいかなければトンズラなんて話は出来そうにもない内容。
従来の故郷を捨て、新天地で暮らすと言う事だ。
勿論、従来の故郷は引き払うので、戻る場所もないだろう。
各HPにもあるが、通史編によれば、明治24年の濃尾大地震やこの前年29年の台風や高潮で被災しており、かなりのダメージを受けての決断だった陽だ。
また、30年にも高潮被害を受けている。
元々、この飛島村の一部は海抜ゼロメートル地帯らしく、通史編らにも開拓について堤防や川筋の変更と思われる事はあるので、水害との戦いを続けて来たのは示唆される。
帰ろうにも、帰る場所もない被災状況なら、腹を括るしかないか。
先に書いた通り、この団体が他の資料とどう整合するのか?らは調べてはいない。
ただ、こんな不退転の決意と条件で移住した人々もいたのだろう。
これら資料は、入植地の他に、旅立つ故郷側にも残ったりしている。
先祖達が、どんな状況でどんな決断をしたのか?
他県らの資料や古老の話を聞いてみるのも良いのではないだろうか?
これらは、資料は残されても、家族で口伝しなければ残りはしないのだから。
参考文献:
「飛島村史 資料編 二」 飛島村史編3委員会/飛島村史調査編集委員会 平成13.3.31